英国7例猴痘患者研究:呼吸道核酸阳性,抗病毒药可减缓症状
5月以来,罕见而不寻常的猴痘疫情在全球多个国家暴发。世卫组织5月24日通报,目前已有19国已报告131例猴痘确诊和106例疑似病例,疫情不寻常但可控。1980年世卫组织宣布全球已经根除了天花,猴痘被认为是自天花根除以来人类最重要的正痘病毒感染。
在本轮疫情暴发前,猴痘病例主要在非洲中部和西部地区热带雨林散发。猴痘感染病人有怎样的特点?又有哪些治疗经验?来自英国利物浦大学的一支传染病研究团队,对2018年至2021年期间在英国确诊的7名猴痘患者的临床特征和治疗过程进行了研究。研究表明,一些用于治疗天花或动物性猴痘的抗病毒药物可能减缓人类猴痘症状,并缩短患者的感染时间。
5月24日,国际权威学术期刊《柳叶刀传染病》以论文形式刊发了这项研究成果(英国猴痘病例的临床特征和疾病管理:一项回顾性观察研究,“Clinical features and management of human monkeypox: a retrospective observational study in the UK”)。

最新的病毒基因组测序显示,引发本轮疫情的猴痘病毒与2018年在英国发现的猴痘病毒同源。由于对猴痘的最佳感染控制和治疗策略尚未建立,这项研究的数据可以为全球进一步了解该病的临床特征和传播动态提供信息。
前述研究首次分析了2018年至2021年期间在英国出现的人类猴痘的医院内和家庭传播案例,同时报告了患者对两种不同的抗病毒药物——布林昔多福韦(brincidofovir)和特考韦(tecovirimat)治疗的反应。这两种药物此前主要用于治疗天花, 并在动物身上证明了对猴痘有一些疗效。
研究发现,特考韦(tecovirimat)可能会缩短人类猴痘症状的持续时间,并缩短患者的传染性时间,其潜力有待进一步研究,而几乎没有证据表明布林昔多福韦(brincidofovir)具有临床疗效。论文还报告在患者的血液和咽喉拭子中发现猴痘病毒。研究中的所有患者在英国医院进行隔离治疗后痊愈。
此外,在以往的猴痘爆发期间,患者被认为具有传染性,直到所有病变结痂。在对这7例英国病例的研究中,研究者们发现,患者在感染后至少三周内观察到病毒脱落。
“目前,全球公共卫生部门正在试图了解今年5月以来猴痘在欧洲和北美爆发的原因——很多病例既没有旅行经历,与已知病例也没有明确的联系,我们的研究提供了一些关于使用抗病毒药物治疗猴痘的初步见解,"论文的主要作者、利物浦大学医院NHS基金会信托基金的休·阿德勒博士说,“尽管最近的疫情中出现的病例比我们之前在英国遇到的更多,但从历史上看,猴痘病毒并没有在人与人之间非常有效地进行传播,总体而言,威胁公共安全的风险很低。”
猴痘是天花病毒的近亲,是一种罕见的疾病,但它被英国卫生安全局列为严重后果传染病(High Consequence Infectious Disease (HCID))。目前,全球没有获得许可的猴痘治疗方法,关于其传染性持续时间的数据也极其有限,一般认为,病毒的潜伏期从5天到21天不等。患者通常被隔离在专科医院,以防止病毒传播。
猴痘通过动物向人传播,通常是由于动物咬伤或食用不适当煮熟的肉。在极少数情况下,该病毒可通过人际传播。1970年在刚果民主共和国报告了第一例猴痘人类病例,很少在中非和西非国家以外发生。迄今为止,对高收入国家猴痘病例的研究也很少。
目前,全球已报告的猴痘症状包括发热、皮疹和淋巴结肿大。并发症也有报道,包括肺部炎症、大脑炎症、威胁视力的角膜炎症和继发性细菌感染。已公布的死亡率差别很大,刚果盆地病例的死亡率在1-10%之间,尼日利亚病例的死亡率在3%以下。死于猴痘的大多数是儿童和艾滋病毒感染者。两种口服药物布林昔多福韦(brincidofovir)和特考韦(tecovirimat)已被批准用于治疗天花,并已证明对动物猴痘有效。
在这项回顾性观察研究中,研究者对2018年8月15日至2021年9月10日期间在英国高后果感染性疾病(HCID)中心住院的确诊猴痘(定义为任何解剖部位的猴痘病毒PCR阳性的临床疾病)的所有患者(7名)进行了图表回顾。研究者们提取了临床数据(包括人口统计变量、出现症状和体征、疾病并发症和接受的任何抗病毒治疗)和实验室结果(包括常规生化检测和猴痘病毒PCR)进行比对。

其中,患者的猴痘病毒PCR检测在英国罕见和输入性病原体实验室(UK Rare and Imported Pathogens Laboratory)完成。检测样本包括EDTA(乙二胺四乙酸)血液样本、尿液样本、持续性病变或病变液拭子和上呼吸道拭子,检测通常每48-72小时进行一次,直到每个解剖部位(即皮肤、血液或呼吸道)连续记录两次阴性结果。这些阴性结果,加上所有可见病变脱皮,无新病变,无活性黏膜病变,构成了HCID中心同意将患者送至社区隔离的标准框架。
此外,德国联邦国防军微生物研究所(Munich, Germany)通过免疫荧光法对与猴痘接触过的4人的血清进行了正痘病毒IgG和IgM检测。
研究者用图表报告了7名患者的临床病症表现和治疗过程。这7名患者中,4名患者在英国以外感染猴痘(患者1、2、4和5);3例在英国境内感染(患者3、6、7) 。从时间上来看,2018 - 2019年发生4例,2021年发生3例。

所有7例患者都表现出了多形性皮肤病变(包括丘疹、小泡、脓疱、脐脓液、溃疡性病变和痂),病变的猴痘病毒PCR检测呈阳性。所有患者的上呼吸道拭子检测到病毒DNA, 6例患者的血液和4例患者的尿液中检测到病毒DNA。

2018年至2019年期间,该研究观察的4名患者在英国HCID中心接受了猴痘治疗。其中3例是从西非输入,第4例是最初接触该病毒18天后的一名卫生保健工作者,这是非洲以外医院环境中猴痘传播的第一例。
最初的3名患者在出现皮疹7天后使用布林昔多福韦(brincidofovir)进行了治疗。拟定的治疗疗程为每周3次,每次200 mg,但3例患者在服药后均出现丙氨酸转氨酶升高,均未完成全程治疗。科学家们未观察到布林昔多福韦brincidofovir在治疗猴痘方面有任何令人信服的临床益处。尽管如此,所有3名患者以及第4名医院传播患者在45—48天后都完全康复。
患者4(2019)在出院后出现了复发情况。他在大约出院后6周后进行了一次性交,其后淋巴结增大。但患者病症的复发时间短,其他方面临床表现良好,他被当地医院短暂收治,直到病变结痂,上呼吸道拭子PCR检测阴性后出院。
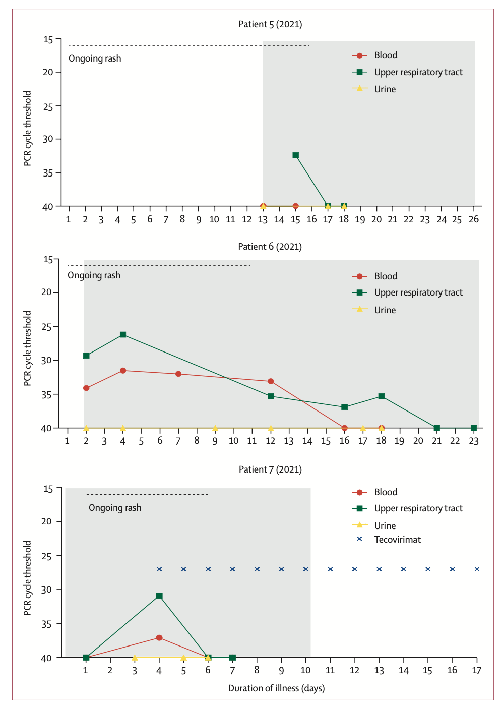
值得特别注意的是2021年发生的家庭猴痘群集案例。这家人(父亲、母亲和四个不到10岁的孩子)从尼日利亚来到英国。在新冠强制自我隔离10天期间,父亲(患者5[2021])出现了进行性水疱性皮疹,他认为是由水痘引起。在隔离期结束后他到当地急诊室就诊,随后被收住到地区HCID中心,在那里通过水泡液PCR检测确诊为猴痘。
当最小的孩子随后出现发热和水疱疹后,全家都住进了同一HCID病房。三名较大的兄弟姐妹与当时被认为已经无传染性的父亲分在了一组,这三个儿童及其父亲在进行了血液和上呼吸道拭子取样、猴痘病毒PCR显示阴性后出院,在家中完成了21天的隔离。
而这家人中的母亲要求住院,继续照顾女儿(患者6[2021])。该儿童在通过病变体拭子PCR检测确认猴痘后,医疗人员曾考虑过服用特考韦(tecovirimat)进行治疗,但考虑到当时该药物尚未获准在儿童中使用,并且对体重小于13公斤的患者没有标准化的剂量,此前只在一个儿童的天花感染病例中使用过,因此并未使用。在发病第20天后, 患者6上呼吸道拭子猴痘病毒PCR检测检测呈阴性。
但就在患者6(2021)发病第14天,母亲(患者7[2021])出现头痛、咽炎和胸部小泡,猴痘DNA PCR检测阳性。在这名母亲的隔离中, 团队决定提供2周疗程的口服特考韦(tecovirimat)(600mg每日两次)治疗。治疗目的是预防并发症并缩短住院时间。在服用特考韦瑞(tecovirimat)后48小时,患者来自血液和上呼吸道的样本 PCR 阴性,并在72小时时保持阴性。在特考韦瑞(tecovirimat)治疗24小时后未出现新的病变。
在治疗期间两种药物的选择无疑最令人关注。对此,研究者评价说,“在2018年英国诊断出第一批猴痘患者时,布林昔多福韦(brincidofovir)和特考韦瑞(tecovirimat)并没有获得任何许可用以治疗猴痘。布林昔多福韦之所以在2018年被选用,是医疗人员在紧急情况下对当地临床试验中已有供应品的再利用。鉴于涉及的人数很少,很难推断出布林昔多福韦治疗与病程之间的关系。虽然在几个样本中,猴痘病毒PCR循环阈值在病人服用药物后出现过短暂地降低,但这些情况的改善并不持久, 在患者之间也表现得不一致。我们并不知道在病程更早期给药或是采用不同的给药方案,是否会让布林昔多福韦(brincidofovir)产生更有益的临床结果。所有3名患者在用药后都出现了肝酶的紊乱,这直接导致了减少用药疗程的决定。但在已确诊猴痘感染的草原犬治疗中,布林昔多福韦(brincidofovir)具有适度的生存效益(29% vs 14%),并降低了终末器官的病毒滴度。”
“在患者 7 (2021 年)治疗中使用特考韦瑞(tecovirimat) ,是基于该药物在正痘病毒感染的动物模型中的疗效证据,以及人类对该药物的良好耐受性。医疗人员希望这种治疗方案能防止病情恶化或缩短住院时间。治疗在出现皮肤损伤后不久开始。与未服用该药物的患者或使用布林昔多福韦(brincidofovir)治疗的患者相比,特考韦瑞(tecovirimat)的临床和病毒学反应更快,且存在着时间相关性,然而,我们还不能确定这是否就是特考韦瑞治疗的结果。在治疗感染天花的猕猴时,与安慰剂相比,特考韦瑞(tecovirimat)对于减少血液和上呼吸道的病变数量和缩短PCR阳性持续时间也有较好效果。现有资料表明,5天的特考韦瑞(tecovirimat)用药疗程足以产生临床反应,而2周的用药疗程则可产生体液免疫并持久清除病毒。
此外,研究者在论文中强调了要对儿童猴痘感染者高度重视。他们表示,从历史数据来看,儿童猴痘感染比成人更可能出现严重疾病 ,也与死亡更相关。患者6(2021年)是自2003年以来非洲以外报告的首例猴痘儿童患者,也是由英国HCID网络管理的首例儿童患者。治疗期间,英国儿童卫生和社会发展部的一个儿科小组在成人隔离病房提供现场护理,解决了在隔离中同时管理一名幼儿和一名成年人的挑战。儿童患者需要仔细的多学科和跨专业的协调、协作和沟通,幸运的是,该儿童患者的病程较轻。
在人类猴痘感染的病毒动力学上,研究者们称,“在以前的猴痘病例和暴发中,患者被认为在所有病变结痂前都具有传染性。在这7名患者的病程追踪中,我们观察到患者血液和上呼吸道拭子PCR出现阳性的轨迹,与感染猴痘和天花的非人类灵长类动物模型相似。首批3名患者上呼吸道拭子中病毒DNA脱落至少需要3周时间。病人在上呼吸道拭子阳性和皮肤结痂病变时的传染性仍未确定,这是未来研究的一个重要领域,也对卫生保健资源使用、患者安全出院以及预防传播具有直接的实际意义。
此外对于患者4(2019)病症的复发,研究者们认为,这与轻度、短期的临床疾病以及猴痘病毒DNA短暂脱落有关。性交、腹股沟淋巴结增加和皮疹复发之间的时间相关性可能暗示,生殖器或许会成为猴痘病毒的蓄水池。但这一理论值得在更大的患者样本中进行专门研究。
论文还提到,“所有的患者都很年轻,没有预先存在的并发症,并且没有人在暴露病毒前接种过天花疫苗。尽管如此,大多数患者的病程相对较轻,这与猴痘病毒西非支的感染相一致。患者情绪低落较为常见。”
没有患者经历猴痘常见的任何严重并发症,如肺炎或叠加性细菌败血症。患者2(2018)代表了首例深部组织猴痘脓肿的成年患者报告。患者的两个脓肿均未直接与浅表皮肤病变相通,大腿脓肿在确诊后约2周通过超声检查发现,脓肿液中猴痘病毒PCR周期阈值较低。
最后,研究者们承认该研究存在一些局限性,即观察性质和分析的病例数量较少。研究人员也无法用病毒的实验室培养实验证实猴痘PCR检测的阳性结果,这意味着无法证实正在传播的传染性病毒。
“我们研究中报告的病例,以及最近暴发的病情,都突出表明了维持一个全球性协作网络非常重要,我们需要利用这个网络来管理猴痘等后果严重的病原体的零星暴发。”就职于英国利物浦大学NHS信托基金会、论文作者之一尼克.普莱斯(Nick Price)博士说,“我们观察到的病例应对极有挑战性,即使在英国这样的高收入环境中也很难管理。随着跨国旅行恢复到新冠大流行前的水平,世界各地的公共卫生官员和卫生保健工作者必须对可能出现猴痘新病例保持警惕。”
附:图表
