1/0
2024上海高考成绩分布表来啦
上海徐汇2024-06-24 11:22:37

市教育考试院介绍,为便于考生考后填报志愿,现公布2024年考生高考成绩分布情况及2024年综合评价批次入围考生高考成绩分布情况供参考。详见↓

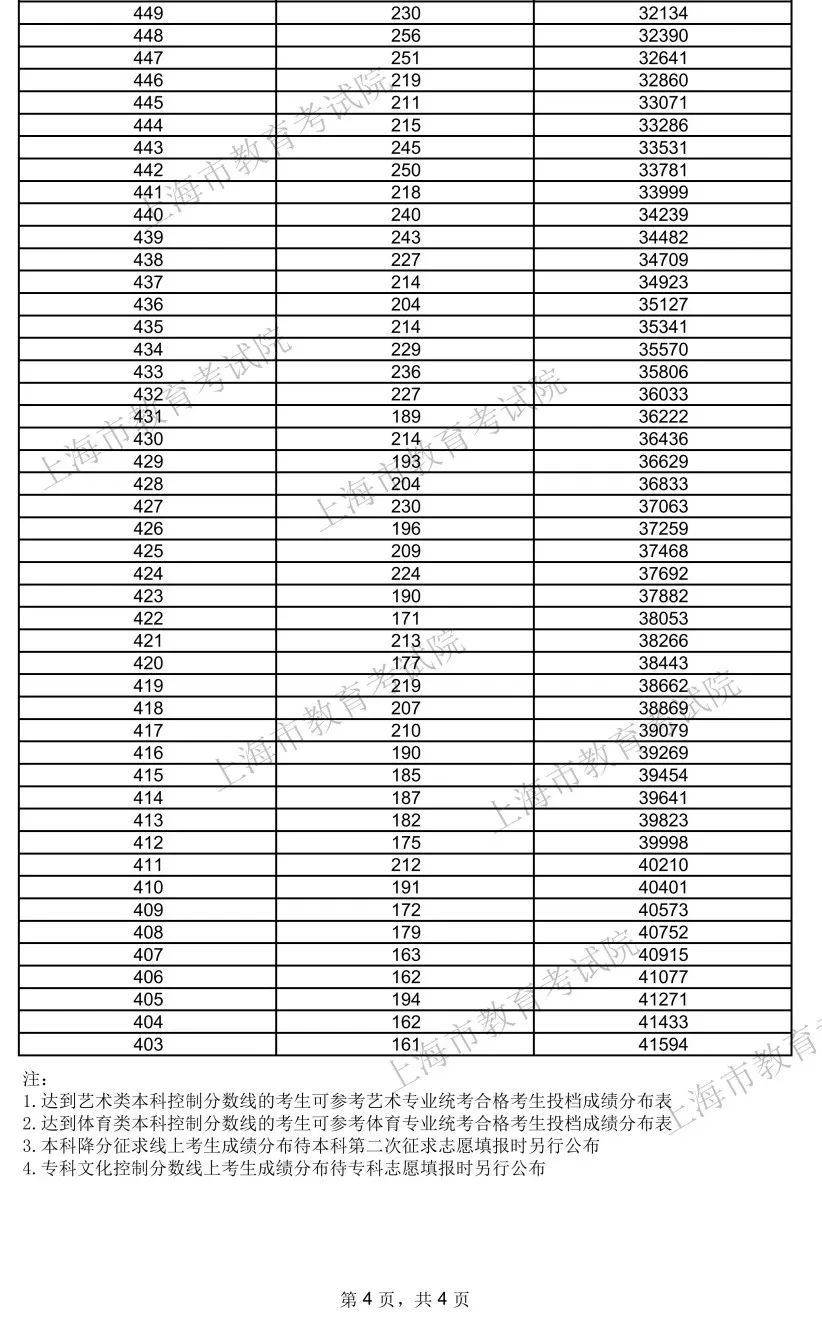
2024年考生高考成绩分布情况

点击查看大图

2024年选考(物理、化学、生物学、思想政治、历史、地理)科目考生高考成绩分布表,考生可登录“2024年高考志愿辅助填报系统”查询。

2024年艺术类、体育类考生成绩分布情况可在文末处点击“阅读原文”查询。

2024年综合评价批次入围考生高考成绩分布情况

特别提醒

1.下列考生成绩分布表仅供已获得综合评价批次各招生院校入围资格且高考成绩达到“特殊类型招生控制分数线”的考生参考。

2.综合评价批次志愿可填报4个平行的院校专业组志愿,并按1:1.5的投档比例由高分到低分投档。建议考生关注各院校专业组招生计划并综合考虑自身情况合理填报志愿。

3.考生须于本科志愿填报阶段填报综合评价批次志愿。其中本市应届高中毕业生由学籍所在中学统一安排,非本市应届高中毕业生由考生报名所在区招考机构统一安排。

4.考生应查阅相关院校的“2024年综合评价录取改革试点招生简章”(点击查看),知晓录取原则。

5.各院校成绩分布可进入链接(https://www.shmeea.edu.cn/page/08000/20240623/18607.html)查看。

选稿:常善喻
知识产权、免责声明以及媒体合作联系
继续了解
知识产权声明

【知识产权声明】

除本司(指上海东方网股份有限公司)另行声明外,本司网页及客户端产品(以下简称“本网”),包括但不限于东方新闻、翱翔、东方头条等,所涉及的任何资料(包括但不限于文字、图标、图片、照片、音频、视频、图表、色彩组合、版面设计、商标、商号、域名等)的知识产权均属本司和资料提供者所有。未经本司书面许可,任何人不得复制、转载、摘编、修改、链接、镜像或以其他任何方式非法使用东方网的上述内容。对于有上述行为者,本司将保留追究其法律责任的权利。

东方网、东方新闻、翱翔,以上均为本司享有权利之合法商标,未经本司书面授权,任何单位或个人不得使用上述商标,或将上述商标用作网站、媒体名称等。

【免责声明】

1、凡本网注明来源“东方网”或“东方新闻”或带有东方网LOGO、水印的所有内容,包括但不限于文字、图片、音频视频,版权均属本司所有,任何媒体、网站或其他任何形式的法律实体和个人未经本司书面授权均不得转载、链接或以其他方式复制传播。与我司签订有关协议或已经获得本司书面授权许可的媒体、网站或其他任何形式的法律实体和个人,应在授权范围内使用,且必须注明来源“东方网”。其目的在于传递更多信息,并不意味着本司赞同其观点或认可其内容的真实性。如果其他媒体、网站或其他任何形式的法律实体和个人使用,必须保留本司注明的“稿件来源”,并自负全部法律责任。如擅自篡改为“稿件来源:东方网”,本司将依法追究责任。

2、擅自使用东方网名义转载不规范来源的信息、版权不明的资讯,或盗用东方网名义发布信息,设立媒体账号等,本司将依法追究其法律责任。

3、鉴于本网发布主体、发布稿件来源广泛,数量较多,如因作者联系方式不详或其他原因未能及时与著作权拥有者取得联系,或著作权人发现本网转载了其拥有著作权的作品时,请主动来函、来电与本司联系,或与本司授权的中国文字著作权协会联系,提供相关证明材料,我方将及时处理。
中国文字著作权协会联系方式:
联系人:赵洪波 唐亚静
地 址:北京西城区珠市口西大街120号太丰惠中大厦1027-1036室
联系电话:010-65978917
邮 箱:wenzhuxie@126.com

4、本网所有声明以及其修改权、更新权及最终解释权均属本司所有。

【媒体合作】

本司为尊重保护著作权,鼓励有益于社会主义精神文明、物质文明建设的作品的创作和传播,促进互联网良性发展,本着平等互惠、资源共享的原则,诚邀各类媒体、网站、单位、个人与本网建立友好的合作关系。
媒体合作、内容转载请联系
联系人:杨老师
联系电话:021-22899781