1/2
我国实现硅基自旋量子比特的超快操控,速率创国际最高记录
澎湃新闻2022-01-13 19:14:00

国内半导体量子计算再迎新进展!

中国科学技术大学郭光灿院士团队与美国、澳大利亚研究人员及本源量子共同合作,实现硅基自旋量子比特的超快操控,自旋翻转速率超过540MHz——是目前国际上已报道的最高值。研究论文发表在1月11日的《自然⋅通讯》期刊上。

半导体量子计算是当前国际上热门的主流研究、应用方向。英特尔、台积电等公司,以及欧洲、澳大利亚都在部署这一重点技术路线。此次研究成果中提及的“高操控的保真度”对于全球研究人员来说,都具有挑战性。“高操控保真度”要求量子比特在拥有较长的量子退相干时间的同时,具备更快的操控速率。

实验装置和EDSR光谱

实验装置和EDSR光谱

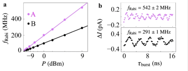
我国团队在基本温度为10 mK(绝对零度以上0.01度)的牛津Triton稀释制冷机中进行实验,通过优化器件性能,在耦合强度高度可调的双量子点中完成了自旋量子比特的泡利自旋阻塞读取,观测到了多能级的电偶极自旋共振谱。通过调节不同的自旋翻转模式,在100 mT(毫特斯拉)的磁场下,实现了速率超过 540 MHz的自旋量子比特的超快操控,创下了半导体系统中超快自旋量子比特控制的最高记录。

据论文摘要,运算速度和相干时间是衡量量子比特能力的两个核心指标。强自旋轨道相互作用(SOI)和相对弱的超精细相互作用使锗(Ge)中的空穴,成为实现快速、全电相干控制自旋量子比特的重要候选。

微波功率为 9 dBm 时,自旋比特操控速率可达 542MHz

微波功率为 9 dBm 时,自旋比特操控速率可达 542MHz

该研究结果表明,锗硅空穴自旋量子比特体系是实现全电控半导体量子计算的重要候选之一,可满足DiVincenzo准则对可扩展量子信息处理器的要求。这一成果为半导体量子计算的研究开拓了新领域。

论文显示,中科院量子信息重点实验室的博士后王柯和博士研究生徐刚为论文共同第一作者。本源量子首席科学家、中科院量子信息重点实验室郭国平教授和李海欧研究员、中科院物理所张建军研究员为论文共同通讯作者。

而早在十多年前,郭光灿院士与郭国平教授团队就着手研究硅基半导体量子计算,并收获了一系列研究成果。2017年9月份,两位教授共同创立本源量子,团队起源于中科院量子信息重点实验室。

2021年,该团队就已取得多项进展:利用微波超导谐振腔,实现对半导体双量子点的激发能谱测量;利用微波谐振腔,探测半导体量子点受微波驱动调制的干涉新现象;将机器学习应用于量子计算,有效提升了量子芯片的读取保真度,并大幅度抑制读取串扰效应。

作者:澎湃新闻见习记者 王蕙蓉
知识产权、免责声明以及媒体合作联系
继续了解
知识产权声明

【知识产权声明】

除本司(指上海东方网股份有限公司)另行声明外,本司网页及客户端产品(以下简称“本网”),包括但不限于东方新闻、翱翔、东方头条等,所涉及的任何资料(包括但不限于文字、图标、图片、照片、音频、视频、图表、色彩组合、版面设计、商标、商号、域名等)的知识产权均属本司和资料提供者所有。未经本司书面许可,任何人不得复制、转载、摘编、修改、链接、镜像或以其他任何方式非法使用东方网的上述内容。对于有上述行为者,本司将保留追究其法律责任的权利。

东方网、东方新闻、翱翔,以上均为本司享有权利之合法商标,未经本司书面授权,任何单位或个人不得使用上述商标,或将上述商标用作网站、媒体名称等。

【免责声明】

1、凡本网注明来源“东方网”或“东方新闻”或带有东方网LOGO、水印的所有内容,包括但不限于文字、图片、音频视频,版权均属本司所有,任何媒体、网站或其他任何形式的法律实体和个人未经本司书面授权均不得转载、链接或以其他方式复制传播。与我司签订有关协议或已经获得本司书面授权许可的媒体、网站或其他任何形式的法律实体和个人,应在授权范围内使用,且必须注明来源“东方网”。其目的在于传递更多信息,并不意味着本司赞同其观点或认可其内容的真实性。如果其他媒体、网站或其他任何形式的法律实体和个人使用,必须保留本司注明的“稿件来源”,并自负全部法律责任。如擅自篡改为“稿件来源:东方网”,本司将依法追究责任。

2、擅自使用东方网名义转载不规范来源的信息、版权不明的资讯,或盗用东方网名义发布信息,设立媒体账号等,本司将依法追究其法律责任。

3、鉴于本网发布主体、发布稿件来源广泛,数量较多,如因作者联系方式不详或其他原因未能及时与著作权拥有者取得联系,或著作权人发现本网转载了其拥有著作权的作品时,请主动来函、来电与本司联系,或与本司授权的中国文字著作权协会联系,提供相关证明材料,我方将及时处理。
中国文字著作权协会联系方式:
联系人:赵洪波 唐亚静
地 址:北京西城区珠市口西大街120号太丰惠中大厦1027-1036室
联系电话:010-65978917
邮 箱:wenzhuxie@126.com

4、本网所有声明以及其修改权、更新权及最终解释权均属本司所有。

【媒体合作】

本司为尊重保护著作权,鼓励有益于社会主义精神文明、物质文明建设的作品的创作和传播,促进互联网良性发展,本着平等互惠、资源共享的原则,诚邀各类媒体、网站、单位、个人与本网建立友好的合作关系。
媒体合作、内容转载请联系
联系人:杨老师
联系电话:021-22899781